Introduction
Section Prototype presented the socially intelligent human-robot dialogue for the use case "UC01.0: Music Bingo", and a corresponding robot that shows less intelligent dialogues for comparison (i.e., the control condition. Both dialogues are video-recorded in the robot lab by a staff member, in which the video camera “looks at” the robot (so, you “only” see the robot).
In this test, these videos (i.e. the recorded dialogues and robot expressions) will be assessed by participants in an online evaluation to test if the robot is perceived as intended. The hypotheses are that the participants recognize more intended dialogue characteristics for the intelligent robot than the less-intelligent robot, and asses the robots differently on aspects like understandability, trustworthiness, and likeability. The concerning measures are being acquired via an online questionnaire (immediately after each video).
The participants will be the students from the other groups that take the course (about 45 students take the course). The data will be anonymized. It is intended to be a within-subjects design, in which the two conditions are counterbalanced.
Method
The prototype was evaluated with an in-person experiment with multiple participants.
Participants
Randomly selected PwD from the care centers.
Experimental design
For the experiment, we used a within-subject design. All of the participants interacted with both versions of the robot, with half of the participants interacting with version 1 first and then version 2, and the other half in reverse order. This was done to counter-balance the carryover effects.
Tasks
The participant interacted with the robot, which was programmed to engage in the Music Bingo Play. Two versions were implemented: the first version (simple interaction) only explains the game procedure without further interactions. The second (advanced interaction) is our original implementation of it with more human-like interactions such as small talks.
Measures
We measured the effectiveness of the Music Bingo Play. Our quantitative measure was whether the person performed better in the game with further help from the robot, and the qualitative measure was the emotions that the PwD experienced before, during, and after the interaction. The qualitative measures were recorded with a simple questionnaire.
Procedure
The procedure was conducted as follows:
- Welcome participants and explain what they are going to be doing.
- Have them sign the permission form.
- Complete questionnaire 1 regarding their emotional state.
- Play the Music Bingo Game with the robot.
- Have interaction with version A of the robot.
- Complete questionnaire 2 (extended version).
- Have a short interview during downtime (prepared questions).
- Have interaction with version B of the robot.
- Complete questionnaire 3 (extended version).
- Have a short interview during downtime (prepared questions).
We used the "Wizard of Oz" method for differentiating agreement and disagreement, to make sure that the whole process did not depend on voice recognition being good enough, and to have an overall smoother interaction. In practice, this meant that someone was pressing "y" and "n" on the keyboard according to the participants' answers, in a place the participant did not see, such as behind them. The only issue encountered was some connectivity delays at times, which only slightly affected a few of the interactions.
Material
- Consent form. To protect the privacy of participants and ensure the evaluation process goes smoothly, we will ask participants to sign a consent form, indicating they are willing to take part in the evaluation and the data gathered from the experiment will be analyzed by researchers.
- Pepper robot. Our robot is programmed using Choregraphe. The robot will have the same behaviour for every participant. However, the input data will be entered by the Activity Coordinator.
Results
Since each PwD has its own state of dementia and personal issues, it is very difficult to get uniform results, especially since they are collected orally.
Getting very nice, fully robust, and reliable results is merely a hope and a dream.
However, we can try to consider the main trends that we are interested in.
Thus, the results will be mainly focused on:
- How much autonomy did the PwD gain?
→ what did the caregiver, relatives, and PwD report
→ how well did PwD perform in the group game
→ did the relatives feel they are cared
- Did their emotional state improve?
→ feelings from the PwD themselves
→ reports from relatives and caregiver
These results will most likely never be yes-no results, but more like clues or hints that show whether some things worked on not, which will be the point of our discussion.
An example result analysis is below:
Accomplishment and Autonomy Assessment
Figure 1: Graphical representation of results for accomplishment and autonomy subset of the system assessment, with results shown for people who like vs. dislike gardening, along with the average of the sample.
The second group, namely the accomplishment and autonomy subset has questions concerning the sense of control and accomplishment felt during the task by the participants. The participants on average responded between slightly agree and agree that completing the task was a good accomplishment and that they felt in control while doing it and a bit lower for the statement "I feel like I have accomplished it myself" suggesting that it is possible for the participants to feel like Pepper is responsible, at least partially, for the accomplishment of the task.
H0: The distribution of answers from people who like gardening and people who do not like gardening is the same.
| Wilcoxon Rank-Sum results | I feel like completing the task was a good accomplishment. | I feel like I accomplished it myself. | I felt in control of what I had to do. |
|---|---|---|---|
| p-value | 0.0982 | 0.220 | 0.581 |
| statistics | -1.653 | -1.224 | 0.551 |
Table 1: Results of Wilcoxon Rank-Sum statistical test on accomplishment and autonomy subset of system assessment for people who like vs. dislike gardening
The sense of accomplishment is slightly higher for people who like gardening than for those who do not. It is globally around slightly agree. An interesting fact to notice is that participants who do not like gardening felt more in control of what they had to do.
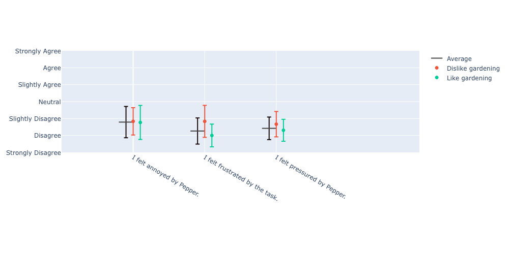
Negative Experiences Assessment 
Figure 2: Graphical representation of results for negative experiences subset of the system assessment, with results shown for people who like vs. dislike gardening, along with the average of the sample.
The third group, namely the negative experiences subset is used to group together questions that measure negative feelings and experiences with Pepper. The results show that the participants on average answered between slightly disagree and disagreed. This suggests that Pepper was not frustrating for most people but only for a small fraction of the participants.
H0: The distribution of answers from people who like gardening and people who do not like gardening is the same.
| Wilcoxon Rank-Sum results | I felt annoyed by Pepper. | I felt frustrated by the task. | I felt pressured by Pepper. |
|---|---|---|---|
| p-value | 0.951 | 0.358 | 0.926 |
| statistics | 0.0612 | 0.918 | -0.0918 |
Table 2: Results of Wilcoxon Rank-Sum statistical test on negative experiences subset of system assessment for people who like vs. dislike gardening
The participants globally disagree that the presence of Pepper annoyed, frustrated or pressured them. Those who like gardening actually had a bit more negative feelings regarding the presence of Pepper than those who dislike gardening.
Social Assessment
Figure 3: Graphical representation of results for the social subset of the system assessment, with results shown for people who like vs. dislike gardening, along with the average of the sample.
The fourth and final group addresses a social subset and is utilized for assessing Pepper's social presence and trustworthiness as felt by the participants. The two statements used are "Pepper cared about helping me" and "I would trust Pepper with more important activities". The responses were on average slightly above the neutral level.
H0: The distribution of answers from people who like gardening and people who do not like gardening is the same.
| Wilcoxon Rank-Sum results | Pepper cared about helping me. | I would trust Pepper with more important activities. |
|---|---|---|
| p-value | 0.854 | 0.0297 |
| statistics | 0.183 | -2.173 |
Table 3: Results of Wilcoxon Rank-Sum statistical test on the social subset of system assessment for people who like vs. dislike gardening
This graph shows that the trust in Pepper was highly dependent on whether the participants enjoyed the activity or not.
Discussion
- Reliability: The evaluation is reliable. One could replicate the exact same experiment with other participants.
- Validity: This evaluation is not really valid. Our feasible evaluation does not have the corresponding target group, and is of a much smaller scope compared to our ideal evaluation. We cannot test all our claims.
- Biases: The evaluation has large biases. This is discussed more in detail in the limitations where different bias factors are explained.
- Scope: The evaluation can be generalized to a larger scope, although with a lot of care, since the evaluation is not fully valid.
- Ecological validity: The evaluation is partially valid in terms of influence from the environment. The affect assessment questionnaire is the same before and after the activity, with the same environment, so the environment is technically not involved in this. However, the system assessment questionnaire does rely on some elements from the environment.
Conclusions
The results from the mood questionnaire seem to support our claims CL001: improved affect of PwD.
Although there are many potential biases, there seems to be a general trend which is that the mood of the participants slightly improved thanks to the activity.
All participants, except one who asked to leave the experiment early, finished the whole activity we had prepared for them during the session. This means the participants were able to perform game steps told by Pepper.
No participant failed to notice Pepper or did not hear what she was saying after the experiment had started.
From the system assessment questionnaire, participants quite agree that completing the group game was a good accomplishment for them.
Frustration, annoyance and pressure are often linked to a lack of understanding from the other parts. We can combine these with the question about whether Pepper cared about helping the participants, and with our observations during the experiment. When aggregated together, it seems that generally speaking, the participants felt understood.